430685
»ùÒòǹ »ùÒòµ¼ÈëÒÇ Î¢ÉúÎïÉú³¤ÇúÏß·ÖÎöÒÇ DNA´ò¶ÏÒÇ ·Ö×ÓÔÓ½»Â¯ ×ÏÍâ½»ÁªÒÇ ºËËáÌáÈ¡ÒÇ Ï¸¾úÊèÉ¢¼ÆÊýÒÇ Æ½ÐÐÉúÎï·´Ó³Æ÷ СÐÍÅçÎí¸ÉÔï»ú ¼äЪ½þʽÉúÎï·´Ó³Æ÷
¹¤ÒÕÁ÷³ÌοØÏµÍ³ ºãÎÂ²Û µÍÎÂÀäÈ´Ñ»·±Ã(ÀäÈ´Ñ»·Ë®»ú) ºãÎÂÀäÈ´Ñ»·Æ÷ ºãη´Ó³Ô¡ ½ðÊôÖé×ÓºãÎÂÔ¡ Ðýתճ¶È¼Æ×¨ÓúãβÛ
ʵʱ¹É¼Û ¹«Ë¾Í¨¸æ Ͷ×ÊÕßÈÈÏß Í¶×ÊÕß½»Á÷
EN
½éÉÜÏ¢ÕùÊÍʵÑéÊÒÒÇÆ÷µÄÊÂÇéÔÀí¡¢²Ù×÷²½Ö衢ά»¤µ÷Ñø¡¢¼¼Êõ¹æ·¶¡¢Ó¦Óð¸ÀýµÈÄÚÈÝ
ǰ¾°ÌáÒª
¡¡¡¡´ËǰÒÑÓÐÎÄÕ¶ÔÁ÷ÌåÁ÷¶¯×´Ì¬×öÁ˼òÆÓÂÛÊö£¬Ã÷È·ÁËÁ÷ÌåÎïÐÔ¼°¹ÜµÀ×èÁ¦»á¶Ô»»ÈÈÁ÷Ìå(ÎÞÂÛÊÇÀäÁ÷ÌåÕÕ¾ÉÈÈÁ÷Ìå)·¢ÉúÒ»¶¨µÄÁ÷¶¯Ó°Ïì¡£ÓÐͬѧ¿Ï¶¨²»½ûÏëÎÊ£ºÎÒÊÇÏëÒª¸øÎïÁϽµÎÂ(»òÕß¼ÓÈÈ)£¬¸úÎÒµÄÎïÁÏÔõôÁ÷¶¯ÓÐʲô¹ØÏµÄØ?
¡¡¡¡½ñÌìÌ«Ñô³ÉÀ´ÁÄÒ»ÁÄÈȽ»Á÷ ¡£
¡¡¡¡ÈȽ»Á÷µÄ·½Ê½ÓÐÈýÖÖ£ºÈÈ´«µ¼¡¢ÈȶÔÁ÷ ºÍÈÈ·øÉä¡£
¡¡¡¡¼òÆÓ½²£¬ÈÈ´«µ¼¾ÍÊǶ¬ÌìÊÖÃþÌú°ô£¬Ëæ×Åʱ¼äÔö³¤£¬ÀäµÄÌú°ôÒ²Öð½¥ÈÈÆðÀ´ÁË£¬¸úÈËÊÖµÄζÈÖð½¥Ò»Ö£¬¶øÇÒÔÚÊÖÃþµÄÇøÓòËÄÖÜÖð½¥ÏòÁ½¶Ë¶¼ÈÈÆðÀ´ÁË;
¡¡¡¡ÈȶÔÁ÷¾ÍÊǰÑÀäË®ºÍÈÈË®µ¹ÔÚÒ»Æð½ÁÒ»½Á£¬Äð³ÉÒ»±Î¶ÈÉÏ϶¼Ò»ÑùµÄË®;ÈÈ·øÉä¾ÍÊÇɹ̫Ñô£¬È˼ÈûÓнӴ¥Ì«Ñô£¬Ò²Ã»ÓкÍÌ«ÑôÄð³ÉÒ»Ì壬µ«ÊÇÌ«Ñô³É¿ÉÄܸÐÊܵ½Ì«ÑôµÄÈÈ¡£
¡¡¡¡Óɴ˿ɼû£¬ÈÈ´«µ¼ÐèÒªÁ½Õß½Ó´¥µ«²»»ìÏý£¬ÈȶÔÁ÷ÐèÒªÁ½Õß½Ó´¥²¢»ìÏý£¬ÈÈ·øÉä²»ÐèÒªÁ½Õß½Ó´¥¼°»ìÏý¡£
ÄæÁ÷¼ä±Úʽ»»ÈÈ
¡¡¡¡ÔÚʵÑéÀú³ÌÖУ¬ÍùÍùÐèÒªÀäÈȽéÖʽøÐÐÈȽ»Á÷½øÐнµÎÂ(»òÕß¼ÓÈÈ)£¬¶øÀä¡¢ÈÈÁ½ÖÖÎïÁ÷Ö®¼ä²¢·ÇÏ໥½Ó´¥£¬Á½ÕßÖ®¼äÓнðÊô»ò²£Á§»òÆäËû²ÄÖʵļä±Ú×öÀ뿪¡£Òò´Ë£¬ÔÚÉÏÊöÀú³ÌÖУ¬Àä¡¢ÈÈÁ÷Ìå¸÷×ÔÄÚ²¿´æÔÚÈȶÔÁ÷£¬ÀäÁ÷Ìå¡¢¼ä±Ú¡¢ÈÈÁ÷ÌåÈýÕßÁ½Á½½Ó´¥µÄÇøÓòÔòΪÈÈ´«µ¼£¬Õû¸öÀú³ÌÖÐûÓÐÈÈ·øÉä¡£ÒªÏëÀä¡¢ÈÈÁ÷ÌåÄÚ²¿µÄζÈÄܹ»¿ìËÙµ½´ïÒ»Ö£¬ÄÇôһ¶¨Òª¼Ó´óÈȶÔÁ÷µÄЧÂÊ¡£¶øÔöÇ¿ÈȶÔÁ÷×îºÃµÄ·½Ê½ÊÇÔöÇ¿Á÷ÌåÄÚµÄÍ͝ÄÜ£¬¼´ÈÃÁ÷Ìå´¦ÓÚÍÄÁ÷״̬»òÓÐÍâÁ¦´ÙʹÁ÷Ìå·µ»ì(ÀýÈç½Á°è)¡£
¡¡¡¡³£¼ûµÄÁ½ÏàÁ÷ÌåµÄ¼ä±Úʽ»»ÈÈģʽÏ£¬ÍùÍùÓÐÁ½ÏàͬƫÏòÁ÷¶¯µÄ˳Á÷»»ÈÈ¡¢Á½Ïà³ÉÊ®×Ö×´´íλÁ÷¶¯µÄ´íÁ÷»»ÈȺÍÁ½ÏàÏà·´Æ«ÏòÁ÷¶¯µÄÄæÁ÷»»ÈÈ¡£ÉÏÊöÈýÖÖ»»ÈÈģʽÏ£¬ÄæÁ÷»»ÈÈ µÄЧÂÊ×î¸ß¡£
¡¡¡¡Èçͼ1ËùʾΪһ¸ö³£¼ûµÄÄæÁ÷¼ä±Úʽ»»ÈȵÄʾÒâͼ£º

Ôõô֪µÀÄÜÁ¿Óжà¸ßÄØ£¿
¡¡¡¡ÔÚʵ¼ÊÀú³ÌÖУ¬ÍùÍùÐèÒªÖªµÀʵ¼ÊÐèÒªÌṩ£¨»ò±»ÒÆ×ߣ©µÄÄÜÁ¿Óжà¸ß£¬»ùÓڸòàµÄÎïÁÏ״̬ÒÔ¼°·´Ó³ÈȲÎÊý»òÈÈÔ´²ÎÊý£¬Ì«Ñô³É¿ÉÒÔ»ñµÃ×ÜÈÈÁ¿£¬Èô²»¿¼ÂÇ·´Ó³Îü·ÅÈȼ°ÄÚÈÈÔ´µÄÇé¿öÏ£¬ÄÇô¿ÉÒÔÆ¾¾ÝÎïÁÏËùÐèÉýΣ¨»òÕß½µÎ£©µÄ³õʼζȺÍ×îÖÕζÈÒÔ¼°ÎïÁÏÎïÐÔ£¬Ì«Ñô³É¿ÉÒÔÓÃÒÔϹ«Ê½ÅÌËã»ñµÃÈÈÁ¿£º

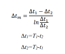
¡¡¡¡ÆäÖУ¬q£ºÈÈÁ¿£¬J;c£ºÎïÁϵıÈÈÈ£¬J/(kg¡¤K);m£ºÎïÁÏÖÊÁ¿£¬kg;¦¤t£ºÎ²¼´¦¤t=t2-t1£¬¡ãC»òK¡£
¡¡¡¡½«×Ü»»ÈÈÁ¿³ýÒÔÔ¤ÆÚµÄÉý½µÎÂʱ¼ä¼´¿É»ñµÃÈȹ¦ÂÊ£¬ÈôΪ»»ÈÈÆ÷ÄÚµÄÁ¬Ðø»»ÈÈÀú³Ì£¬ÎïÁÏÖÊÁ¿Ó¦ÎªÖÊÁ¿Á÷ËÙ£¬¼°kg/s£¬Òò´Ë»ñµÃµÄÈÈÁ¿q¼´Îª»»Èȹ¦ÂÊ¡£¶ÔÓÚ¼ä±Úʽ»»ÈÈ£¬ÔÚÅÌËã»»ÈÈÀú³ÌÖÐÐèÒª¿¼ÂÇʵ¼Ê»»ÈÈÀú³ÌµÄ»»ÈÈÃæ»ýÒÔ¼°´«ÈÈϵÊý£¬Òò´Ë¿ÉÒÔÒÔϹ«Ê½ÅÌËãÏà¹Ø²ÎÊý¡£

¡¡¡¡ÆäÖУ¬Q£º×Ü»»Èȹ¦ÂÊ£¬W£»K£º×Ü´«ÈÈϵÊý£¬W/(m2¡¤K)£»A£º»»ÈÈÃæ»ý£¬m2£»¦¤tm£ºÎ²¡ãC»òK¡£

¡¡¡¡»»ÈÈÃæ»ýAËæ×ÅÉè±¸ÖÆÔìÍê³É£¬¾ÍÒѾȷ¶¨£¬¿ÉÒÔÈÏΪÊǶ¨Öµ£»×Ü´«ÈÈϵÊýKÊܵ½»»Èȼä±Ú²ÄÖÊ¡¢³ß´ç¼°±ÚÃæÁ½²àÎÛ¹¸¡¢±ÚÃæÁ½²àÁ÷ÌåÐÎ̬µÄÓ°Ï죬µ±Á½²àÁ÷ÌåÁ÷ËÙµÈÈ·¶¨µÄÇé¿öÏ£¬KÒ²¿ÉÒÔÈÏΪ¶¨Öµ£»Óɴ˿ɼû£¬Í¨¹ýÁ÷ÌåµÄÈë¿Úζȣ¬À´óÁ½²àζȵÄβ¼´¿ÉʵÏÖ¸ü´óµÄ»»ÈÈÁ¿£¬Òò´Ë¿ÉÈÏΪ Î²î ÊÇ»»ÈÈÀú³ÌµÄ×î´óÇý¶¯Á¦Ò²ÊÇΨһÇý¶¯Á¦¡£
×Ü´«ÈÈϵÊýKÈçºÎ»ñµÃÄØ£¿
¡¡¡¡¸÷È˿϶¨»áºÃÆæ×Ü´«ÈÈϵÊýKÊÇÈçºÎ»ñµÃµÄ£¬ÄÇô¾ÍÀ´¾ßÌå¿´Ò»¿´£º

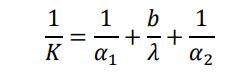
¡¡¡¡ÆäÖУ¬K£º×Ü´«ÈÈϵÊý£¬W/(m2¡¤K);¦Á1£ºÍâ²àÁ÷Ìå¶ÔÁ÷´«ÈÈϵÊý£¬W/(m2¡¤K);¦Á2£ºÄÚ²àÁ÷Ìå¶ÔÁ÷´«ÈÈϵÊý£¬W/(m2¡¤K);¦Ë£º¼ä±ÚÈȵ¼ÂÊ£¬W/(m2¡¤K);b£º±Úºñ£¬m¡£
¡¡¡¡Óɴ˿ɼû£¬×Ü´«ÈÈϵÊýÊÕµ½Á½²àÁ÷ÌåµÄ¶ÔÁ÷´«ÈÈϵÊý¡¢¼ä±ÚÈȵ¼ÂʺͱںñµÄÅäºÏÓ°Ïì¡£¼ä±ÚÈȵ¼ÂÊÏà¶ÔÀι̣¬ÈçϱíËùʾÓÐÒ»²¿Ãų£¼ûÖÊÁϵÄÈȵ¼ÂÊ£º

¡¡¡¡´ÓÉϱí¿ÉÒÔ¿´µ½£¬½ðÊôÖÊÁϵÄÈȵ¼ÂÊÃ÷ÏÔÓÅÓڷǽðÊôÖÊÁÏ£¬¶øÏñÅÝÄÖ®ÀàµÄÖÊÁÏÈȵ¼Âʼ«²î£¬ÄÇôÕâô²îµÄÈȵ¼ÂÊ£¬Ëü¿ÉÒÔÓÃÀ´×öÊ²Ã´ÄØ£¿´ð°¸ÊDZ£Î¡£Ò²¾ÍÊÇ˵Èȵ¼Âʸߣ¬Ì«Ñô³É¿ÉÒÔÓÃÀ´×÷Ϊµ¼ÈÈÔªÆ÷¼þ£¬Èȵ¼Âʵͣ¬Ì«Ñô³É¿ÉÒÔ×÷Ϊ±£ÎÂÖÊÁÏ¡£
¶ÔÁ÷´«ÈÈϵÊýÔõô»ñµÃ£¿
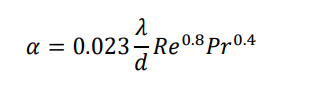
¡¡¡¡Èȵ¼ÂÊÊDzÄÖÊÎïÐÔ£¬ÄÇô¶ÔÁ÷´«ÈÈϵÊýÓÖÒªÈçºÎ»ñµÃÄØ£¿¶ÔÁ÷´«ÈÈϵÊý¿ÉÒÔͨ¹ýÒÔÏÂÒªÁì»ñµÃ£º


¡¡¡¡ÆäÖУº¦Ë£ºÁ÷ÌåÈȵ¼ÂÊ£¬W/(m¡¤K);d£ºÁ÷ÌåÁ÷ͨµÄ¹Ü¾¶£¬m;u£ºÁ÷ËÙ£¬m/s;¦Ñ£ºÁ÷ÌåÃܶȣ¬kg/m3;¦Ì£ºÁ÷ÌåÕ³¶È£¬Pa¡¤s;cp£ºÁ÷Ì嶨ѹÈÈÈÝ£¬J/(kg¡¤K)¡£
¡¡¡¡×ÛÉϿɼû£¬Á÷ÌåµÄ¶ÔÁ÷´«ÈÈϵÊýÓëÁ÷Ì嶯Á¦Ñ§Ö±½ÓÏà¹Ø£¬ÐèÒª½÷É÷Ñ¡ÔñºÏÊʵÄÀäÈ´½éÖÊ¡£
¡¡¡¡Í¨¹ýÉÏÃæÈß³¤µÄ·ÖÎö£¬ÒѾ¿ÉÒÔºËËãÈçºÎÑ¡ÔñÒ»¸öºÏÊʵĺãβÛÒÔ¼°ÈçºÎÑ¡ÔñÒ»¸öºÏÊʵÄÈȽ»Á÷É豸¡£
END
¡¡¡¡Ì«ÑôÓ鳡³Ç¹ÙÍøÈë¿Ú¾ßÓÐÍêÉÆµÄ ºãÎÂˮԡ²úÎï ¼Ò×壬Âú×ãÖÖÖֳߴçµÄÖÖÖÖÈȽ»Á÷É豸ÐèÇó£¬ÊµÏÖ´ÓСÊÔµ½ÖÐÊÔµ½Éú²úµÄÈ«ÖÜÆÚ²úÎ﹩Ӧ¡£È«Ð嵀 DMC¡¢HMCºÍDHC¹¤ÒÕÁ÷³Ì¿ØÎÂϵÁУ¬Ç¿´óµÄÑ»·ÄÜÁ¦£¬³äÅæµÄ¼ÓÈÈ¡¢ÖÆÀ乩Ӧ£¬Âú×ãÖÐÊÔ¼°Éú²ú¹æÄ£´óÐͽÁ°è¸ª¡¢·¢½Í¹Þ¡¢»»ÈÈÆ÷µÈ¿ØÎÂÐèÇó¡£


ÉÏһƪ£º ÈܳöʵÑéÐèÒª¹Ø×¢µÄϸ½Ú
ÏÂһƪ£º Ó°ÏìʵÑéµÄ²»ÊÇËÙ¶È£¬¶øÊÇÀëÐÄÁ¦
24Сʱ·þÎñÈÈÏß 18106650612