430685
»ùÒòǹ »ùÒòµ¼ÈëÒÇ Î¢ÉúÎïÉú³¤ÇúÏß·ÖÎöÒÇ DNA´ò¶ÏÒÇ ·Ö×ÓÔÓ½»Â¯ ×ÏÍâ½»ÁªÒÇ ºËËáÌáÈ¡ÒÇ Ï¸¾úÊèÉ¢¼ÆÊýÒÇ Æ½ÐÐÉúÎï·´Ó³Æ÷ СÐÍÅçÎí¸ÉÔï»ú ¼äЪ½þʽÉúÎï·´Ó³Æ÷
¹¤ÒÕÁ÷³ÌοØÏµÍ³ ºãÎÂ²Û µÍÎÂÀäÈ´Ñ»·±Ã(ÀäÈ´Ñ»·Ë®»ú) ºãÎÂÀäÈ´Ñ»·Æ÷ ºãη´Ó³Ô¡ ½ðÊôÖé×ÓºãÎÂÔ¡ Ðýתճ¶È¼Æ×¨ÓúãβÛ
ʵʱ¹É¼Û ¹«Ë¾Í¨¸æ Ͷ×ÊÕßÈÈÏß Í¶×ÊÕß½»Á÷
EN
ÔÚÌØ¶¨ÁìÓò»òÇé¾³ÖУ¬Õ¹Ê¾²úÎï¡¢·þÎñ»ò½â¾ö·½°¸ÈçºÎ±»Êµ¼ÊÓ¦ÓÃÒÔ½â¾ö¾ßÌåÎÊÌâµÄʵÀý
Ñо¿Åä¾°
1.1Ö¬ÖÊÌå
¡¡¡¡Ö¬ÖÊÌåÊÇÒ»ÖÖ΢ÐÍÅÝÄÒÌ壬Äܽ«Ò©Îï°ü·âÓÚÖ¬ÖÊË«·Ö×Ó²ãÄÚ£¬¾ßÓаÐÏò¡¢»ºÊÍ¡¢½µµÍÒ©Îï¶¾ÐÔµÈÖî¶àÓŵ㣬Æù½ñÒѾÔÚÖÆÒ©¡¢Ò½ÁÆ¡¢ÉúÎﻯѧ¡¢Ê³Æ·¿ÆÑ§¡¢»¯×±Æ·µÈ¶àÁìÓò¹ã·ºÓ¦Óá£ÆÀ¼ÛÖ¬ÖÊÌåÖÊÁ¿µÄÖ¸±êÓÐÍâ¹Û¡¢Á£¾¶ÂþÑܺͰü·âÂʵȣ¬ÖƱ¸ÒªÁì²îÒ죬֬ÖÊÌåµÄÁ£¾¶¡¢½á¹¹¶¼²»¾¡Ïàͬ¡£Ö¬ÖÊÌåÔÚ²îÒìÁìÓòÓ¦Óã¬Á£¾¶ÊÇȨºâÖ¬ÖÊÌåÄÚÔÚÖÊÁ¿µÄÒ»¸öÖØÒªÖ¸±ê£¬Ì½Í·Ê½³¬ÉùÓÉÓÚ²Ù×÷Çá±ã£¬ÒѳÉÎªÖÆ±¸Ö¬ÖÊÌåÖ÷ÒªÖÆ±¸ÒªÁìÖ®Ò»£¬µ«ÊÇÓÉÓÚ³¬ÉùÌõ¼þµÄ²îÒì£¬ÖÆ±¸µÄÖ¬ÖÊÌåûÓкܺõÄÖØÏÖÐÔ¡£Ó°Ï쳬ÉùЧ¹ûÒòËØ°üÂÞÊäÈ빦ÂÊ¡¢×÷ÓÃʱ¼ä¡¢³¬ÉùƵÂʵȣ¬Í¨¹ý¿ØÖÆÕâЩÒòËØ£¬¿ÉÒÔ¿ØÖÆÖ¬ÖÊÌåÁ£¾¶µÄ±ä»¯£¬´Ó¶ø»ñµÃÀíÏë¾ÞϸµÄÖ¬ÖÊÌå¡£
ʵÑéÒªÁì
2.1Ö¬ÖÊÌåµÄÖÆ±¸
¡¡¡¡½ÓÄÉÄæÏòÕô·¢·¨ÖƱ¸Ö¬ÖÊÌ壬¾«ÃܳÆÈ¡Ò»¶¨Á¿µÄÂÑÁ×Ö¬¡¢µ¨¹Ì´¼¡¢¦Á-ÉúÓý·ÓÊÊÁ¿»ìÏýÈÜÓÚÒ»¶¨Á¿ÂÈ·ÂÖУ¬½«Ö¬ÖÊÈÜÒºÒÆÈë250mLÔ²µ×Æ¿ÖУ¬µªÆøÖÐ45¡æºãÎÂˮԡ¼õѹȥ³ýÓлúÈܼÁ£¬Ö±ÖÁÐγɸÉÔïÖ¬Öʱ¡Ä¤£¬´ýÓлúÈܼÁÍêȫȥ³ý£¬Í£Ö¹Ðýת£¬´ÓˮԡÖÐÌáÆðÔ²µ×Æ¿£¬¼ÓÈëÒ»¶¨Å¨¶ÈµÄPBS£¨pH6.5£©ÈÜÒºÐýתϴĤ£¬ÔÚ45¡æË®Ô¡ÖÐË®ºÏ2h¼´ÐγÉÈé°×ɫ֬ÖÊÌå»ìÐüÒº¡£
2.2Ö¬ÖÊÌåÈÜÒºµÄ³¬ÉùÒªÁì
¡¡¡¡Í¼1Ϊ±¾ÊµÑéËùÓó¬Éù×°Öã¬îÑ̽ÕëÖ±¾¶Îª1.5cm£¬·´Ó³³ØÎªÒ»¸ö¿ª·ÅµÄ²£Á§ÉÕ±£¨Ö±¾¶3cm£¬¸ß¶È7.5cm£©£¬±ùˮԡ³¬Éù¡£ÊµÑéÉèÖÃ20%¡¢30%ºÍ40%Èý¸ö¹¦Âʰٷֱȣ¬³¬Éù´¦Öóͷ£Ö¬ÖÊÌ壬³¬ÉùÒÇ̽Õë¾à±µ×Éî¶È»®·ÖÉèÖÃΪ1.5ºÍ3.0cm¡£15mlÖ¬ÖÊÌå°´ÉÏÊöÌõ¼þÕëʽ±ùˮԡ³¬Éù£¬³¬Éù5´Î£¬Ã¿´Îʱ¼äΪ4mim£¨µ¥´Î³¬Éù30s£¬¼ä¸ô30s£©¡£³¬ÉùÍê³Éºó£¬¹Ø±Õ³¬ÉùʹÈÝÆ÷ÀäÈ´£¬ÓÃ0.22¦Ìm΢¿×ÂËĤ¹ýÂ˳ýÈ¥îÑ¿ÅÁ£ÔÓÖÊ¡£¼¤¹âÁ£¶ÈÒÇ·ÖÎö³¬Éù¶ÔÖ¬ÖÊÌåÁ£¾¶ÂþÑܼ°¶ÔÊèɢϵÊýµÄÓ°Ïì¡£

ʵÑé½á¹û
3.1³¬Éù¹¦ÂʶÔÖ¬ÖÊÌåÁ£¾¶µÄÓ°Ïì
¡¡¡¡²îÒìÊäÈ빦ÂÊ£¬³¬Éùʱ¼äΪ20min£¬Ö¬ÖÊÌ峬Éùºóƽ¾ùÁ£¾¶¼°Á£¾¶¹æÄ£ÂþÑܼû¸½±í¡£½á¹û½²Ã÷£¬Ëæ×ų¬Éù¹¦ÂʵÄÔö¼Ó£¬Ö¬ÖÊÌåÁ£¾¶±äС£¬Á£¾¶ÂþÑܹæÄ£±äÕ£¬ËµÃ÷¸ß¹¦Âʳ¬Éù»ñµÃµÄÖ¬ÖÊÌåÁ£¾¶¸ü¾ùÔÈ¡£Í¼2ΪÁ×Ö¬º¬Á¿Îª10mmol/LÖ¬ÖÊÌ峬ÉùǰºóÁ£¾¶Í¼£¬³¬Éù֮ǰ£¨Í¼2A£©Ö¬ÖÊÌåÁ£¾¶³Êµ¥·åÂþÑÜ£¬Æ½¾ùÁ£¾¶Îª300nm×óÓÒ£¬Ëæ×ų¬Éùʱ¼äµÄÔö¼Ó£¬³¬Éù20minºóÄÜÃ÷ÏÔÊӲ쵽Á£¾¶±äС£¬Á£¾¶ÂþÑܱäÕ£¬¼ûͼ2B£¬³¬Éù¹¦ÂÊΪ40%ʱ£¬20minºó»ñµÃÁ£¾¶Ô¼Îª70nm×óÓҵĵ¥·åÂþÑܵÄÖ¬ÖÊÌå¡£


3.2³¬Éùʱ¼ä¶ÔÖ¬ÖÊÌåÁ£¾¶µÄÓ°Ïì
¡¡¡¡Èçͼ3Ëùʾ£¬³¬Éù¹¦ÂÊ»®·ÖΪ20%¡¢25%¡¢30%¡¢35%¡¢40%£¬Ôö¼Ó³¬Éùʱ¼ä£¬Á×Ö¬º¬Á¿Îª10mmol/LµÄÖ¬ÖÊÌåÁ£¾¶±ä»¯£¬½á¹ûÏÔʾ£¬Ëæ×ų¬Éùʱ¼äµÄÔö¼Ó£¬Ö¬ÖÊÌåÁ£¾¶¼õС£¬Ö±µ½20minʱ»ñµÃÒ»¸öÎȶ¨µÄÖ¬ÖÊÌåÁ£¾¶£¬²»ÔÙ·¢Éú±ä»¯¡£ÎªÁË֤ʵ³¬Éùʱ¼ä×ã¹»ÐγÉÎȶ¨µÄÖ¬ÖÊÌåÁ£¾¶£¬Ôö¼Ó³¬Éùʱ¼äµ½25min£¬¿¼²ìÖ¬ÖÊÌåµÄÁ£¾¶ÂþÑÜ¡£

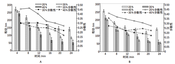
3.3³¬Éùʱ¼ä¶ÔÖ¬ÖÊÌåÁ£¾¶µÄÓ°Ïì
¡¡¡¡É趨ÖÐÆéá«Èý¸ö³¬ÉùÊäÈ빦ÂÊ20%¡¢30%ºÍ40%£¬ÉÕ±µ×²¿ºÍ̽ͷµÄ¾àÀë»®·ÖΪ10ºÍ15mm¡£ÔÚ²îÒìµÄ³¬Éù¹¦ÂʺÍÉî¶ÈÏ£¬³¬Éùʱ¼ä²îÒ죬»ñµÃ²îÒìÁ£¾¶µÄÖ¬ÖÊÌ塣ͼ4ÏÔʾµÄÊÇÁ×Ö¬º¬Á¿Îª10mmol/LµÄÖ¬ÖÊÌ壬ӦÓó¬Éù¹¦ÂÊ»®·ÖΪ20%¡¢30%ºÍ40%£¬Á£¾¶Ë泬Éùʱ¼äµÄ±ä»¯Í¼£¬½á¹û½²Ã÷£¬Ëæ×ų¬Éùʱ¼äµÄÑÓ³¤£¬Ö¬ÖÊÌåÁ£¾¶½µµÍ£¬Ö±µ½³¬Éùʱ¼äΪ20min£¬Ö¬ÖÊÌåÁ£¾¶²»Ôڱ仯£¬´ÓͼÖл¹¿ÉÒÔ¿´³ö£¬Ëæ×ų¬Éù¹¦ÂʵÄÔö¼Ó£¬Ö¬ÖÊÌåÁ£¾¶½µµÍ¡£Ó¦ÓòîÒìµÄ³¬Éùʱ¼äºÍ²îÒìµÄÉî¶È£¬»ñµÃµÄÖ¬ÖÊÌåÁ£¾¶Ò²²îÒì¡£¿¼Âǵ½Á¬ÐøµÄ³¬Éùʱ¼äºÍ¹¦ÂÊ£¬Éî¶ÈΪ15mmʱ£¬»ñµÃµÄÖ¬ÖÊÌåÁ£¾¶¸ü¼Ñ¡£15mmÓë10mm̽ÕëÉî¶È»ñµÃµÄÖ¬ÖÊÌåÁ£¾¶²¢Ã»ÓÐÃ÷ÏÔÇø±ð£¬È»¶øÔÚ10mmʱ£¬Ö¬ÖÊÌå¿Õ»¯ÏÖÏó¸üΪÃ÷ÏÔ£¬´Ù½øôÇ»ù×ÔÓÉ»ùµÄÐγɣ¬Ôì³ÉÖ¬ÖÊÌåÉí·ÖÖÐÁ×Ö¬µÄÑõ»¯¡£15mmÉî¶ÈʱÁ×Ö¬·¢ÉúÑõ»¯µÄ»úÂʸüµÍ¡£ÕâµãÔÚÓ¦Óò»±¥ºÍÁ×Ö¬ÖÆ±¸Ö¬ÖÊÌåʱÓÈÆäÖØÒª£¬ÒòΪ²»±¥ºÍÁ×Ö¬ÈÝÒ×Ñõ»¯¡£´ÓͼÖпÉÒÔ¿´³ö£¬¹¦ÂÊÔ½¸ß£¬³¬Éù»ñµÃµÄÖ¬ÖÊÌåÊèɢϵÊèÉ¢µÃÔ½¾ùÔÈ£¬Ëæ×ʦÂʵÄÔö¼Ó£¬Á£¾¶ºÍÊèÉ¢ÂʽµµÍ£¬µ«³¬Éùʱ¼ä¹ý³¤£¬³¬Éù̽ͷ»áÊͷŸü¶àîÑ¿ÅÁ£ÔÓÖÊ£¬Ôì³ÉÎÛȾ¡£Òò´Ë£¬³¬ÉùÌõ¼þΪ̽ÕëÉî¶ÈΪ15mm¡¢³¬Éù¹¦ÂÊΪ40%£¬³¬Éùʱ¼äΪ20minʱ£¬»ñµÃµÄÖ¬ÖÊÌåÁ£¾¶ºÍÊèÉ¢¶È×îºÃ¡£

ÌÖÂÛ
4.1Ì«ÑôÓ鳡³Ç¹ÙÍøÈë¿Ú¡¤È«ÇòÑùÆ·ÖÆ±¸×¨¼Ò
¡¡¡¡³¬Éù²¨ÊÇÓÉһϵÁÐÊèÃÜÏà¼äµÄ×ݲ¨×é³ÉµÄ£¬²¢Í¨¹ýÒºÌå½éÖÊÏòËÄÖÜÁ÷´«¡£Í¨¹ýÑо¿Ö¬ÖÊÌåÖÆ±¸Àú³ÌÖг¬Éù¶ÔÆäÓ°Ï죬À´µ½´ï¿ØÖÆÖ¬ÖÊÌåÐÔÖʵÄÄ¿µÄ£¬ÊµÑé½á¹û½²Ã÷£¬Ó°ÏìÖ¬ÖÊÌåÁ£¾¶ÂþÑܹæÄ£ºÍzetaµçλµÄÈý¸ö³¬Éù²ÎÊý»®·ÖΪ£º³¬ÉùÉî¶È¡¢¹¦ÂÊÊäÈëºÍ³¬Éùʱ¼ä¡£Òò´Ë£¬Îª»ñµÃµÄ¾ùÒ»ÐԽϺõÄÖ¬ÖÊÌåÓ¦¸Ã½ñºóÈý·½Ãæ½øÐÐ̽Ë÷¡£
¡¡¡¡Ì«ÑôÓ鳡³Ç¹ÙÍøÈë¿Ú×÷ΪȫÇòÑùÆ·ÖÆ±¸×¨¼Ò£¬Éî¸û³¬Éù¼¼Êõ¶àÄ꣬²úÎ﹦ЧÆëÈ«£¬³¬Éù²úÎï¾ßÓй¦Âʵ÷¿Ø¡¢Ê±¼äµ÷¿ØºÍ³¬ÉùÉî¶Èµ÷¿ØµÈ¶à·½Ã湦Ч¡£´ÓÓû§Êµ¼ÊÐèÇó³ö·¢£¬Äܹ»ÎªÓû§Ìṩ¸ßЧÂÊ¡¢¸ßÐԼ۱ȵIJúÎïÏ¢Õù¾ö·½°¸¡£

24Сʱ·þÎñÈÈÏß 18106650612